ArcFM Solution Configuration Guide
Weight Correction Factor

Resource Center Home

The weight correction factor is a variable that adjusts the sidewall bearing pressure caused by the uneven weight distribution of single cables in a multiple cable pull. The relative position of multiple cables in the conduit produces a greater than normal force between the cables and the conduit than would exist for a single cable. This can be viewed as an effective increase in the weight of the cables. The factor depends upon the cable configuration in the conduit.

The weight correction factor equations are listed below. The equation variables are:

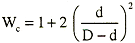
WC = Weight correction factor (dimensionless)

D = Inside diameter of conduit (inches)

d = Outside diameter of single cable (inches)

 

Number of Cables and Configuration

Equation

1

WC = 1

2

3 (triangular)

3 (cradled)

4 (diamond)

4 (cradled)

 

 

 


Send Comment to ArcFMdocumentation@schneider-electric.com