| Appendix > Secondary Circuit Analysis Calculations > Motor Starting Calculation |
This calculation determines voltage flicker or the amount voltage fluctuates briefly when a motor (such as an air conditioner) is started.
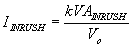
The magnitude of the inrush kVA for a motor is computed as the product of the motor's horsepower and a multiplier derived from its NEMA code rating. The resulting inrush current IINRUSH is computed as

where Vo is the nominal secondary circuit voltage
The voltage flicker VFLICKER due to motor starting at bus i is then computed as
VFLICKER = | IINRUSH | ZXFR + ZPATH |
where ZXFR is the transformer impedance and ZPATH is the total impedance of the conductor path joining bus i to the transformer secondary bus.